Ir para o conteúdo
Transparência Ativa
E-Sic
Ouvidoria
Glossário
Perguntas Frequentes
Mapa do Site
Política de Privacidade
Transparência Ativa
E-Sic
Ouvidoria
Glossário
Perguntas Frequentes
Mapa do Site
Política de Privacidade
Início
O Município
História
Dados Geográficos
Símbolos Oficiais
O Governo
O Prefeito
O Vice Prefeito
Secretarias e Órgãos
Legislação
Leis
Portarias
Decretos
PNAB
Contracheque
Contracheque
Contracheque – fundo saúde
Carta de Serviços
Pesquisar
Início
O Município
História
Dados Geográficos
Símbolos Oficiais
O Governo
O Prefeito
O Vice Prefeito
Secretarias e Órgãos
Legislação
Leis
Portarias
Decretos
PNAB
Contracheque
Contracheque
Contracheque – fundo saúde
Carta de Serviços
Pesquisar
Pesquisar
Início
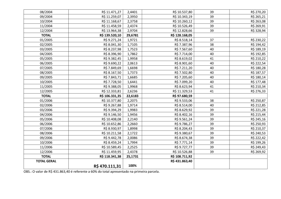
RESULTADO FINAL PARA HOMOLOGAÇÃO COM REFERÊNCIA DE CÁLCULO E VALORES INDIVIDUAIS
RESULTADO FINAL PARA HOMOLOGAÇÃO COM REFERÊNCIA DE CÁLCULO E VALORES INDIVIDUAIS
Data da Notícia
: 30 de abril, 2025
Última Modificação
: 30 de abril, 2025
Autor
:
LINK DA MATÉRIA
https://getpublic.inf.br/system/publicacao/materia/20250430035532/?link=PMSA
Prev
Anterior
Próximo
Next
Acompanhe
nosso instagram
This error message is only visible to WordPress admins
There has been a problem with your Instagram Feed.
×
Caso o conteúdo da página não abra,
Clique Aqui!